Interessante, visto che ad esempio, se non ricordo male, SpaceX ha perso almeno un booster F9 che e’ scivolato sul ponte della chiatta di atterraggio a causa del mare mosso!
Nuovo articolo di Luca Frigerio pubblicato su AstronautiNEWS.it.
Ma il Viasat dove è diretto?
Il Viasat è un payload integrato nel secondo stadio.
Esatto.
È servito solo per inviare la telemetria durante il lancio.
Allora ci sono stati due lanci Viasat lo stesso giorno, mi ha confuso quello.
Comunque, tornando alla mia domanda, si sa dove è finito il secondo stadio?
EDIT: tra l’altro manca ESCAPADE BLUE nello screenshot della space force perché hanno messo la data di lancio a gennaio, ma non c’era nessuno al lavoro a controllare?
Jacklyn rientra in porto col suo prezioso carico
Da notare la grandezza del primo stadio del New-Genn (fonte spacecoastdaily.com)
Del rientro in porto ne parlano anche qui
ho fatto delle ricerche su internet, non ho trovato nulla, deduco che sia in una orbita eliocentrica e non ancora tracciata
Un po’ in ritardo ma non mi pare sia stato postato: il video “promozionale” di Rocket Lab che ha costruito i due satelliti.
Uno dei due satelliti non funziona benissimo, il motore è un po’ ingolfato, la manovra di correzione orbitale non è andata bene, ma ancora è entro i limiti e operativo, stanno investigando il problema.
La manovra di inserimento in MTO non è come dalla LEO, trasferirsi verso Marte dall’orbita attuale richiede davvero pochissio delta v, mi pare sui 0,4 km/s contro i 3,5 km/s della LEO.
Uno dei due satelliti (quello che funziona meno bene) ha effettuato la TCM.
Accensione motori completata, ora si va in L2.
Un plot dell’orbita.
https://x.com/tony873004/status/1989059432597319798
Nella visuale con l’orbita della Luna, L2 è in basso. Ci fa solo un passaggino veloce, non staziona mai in L2.
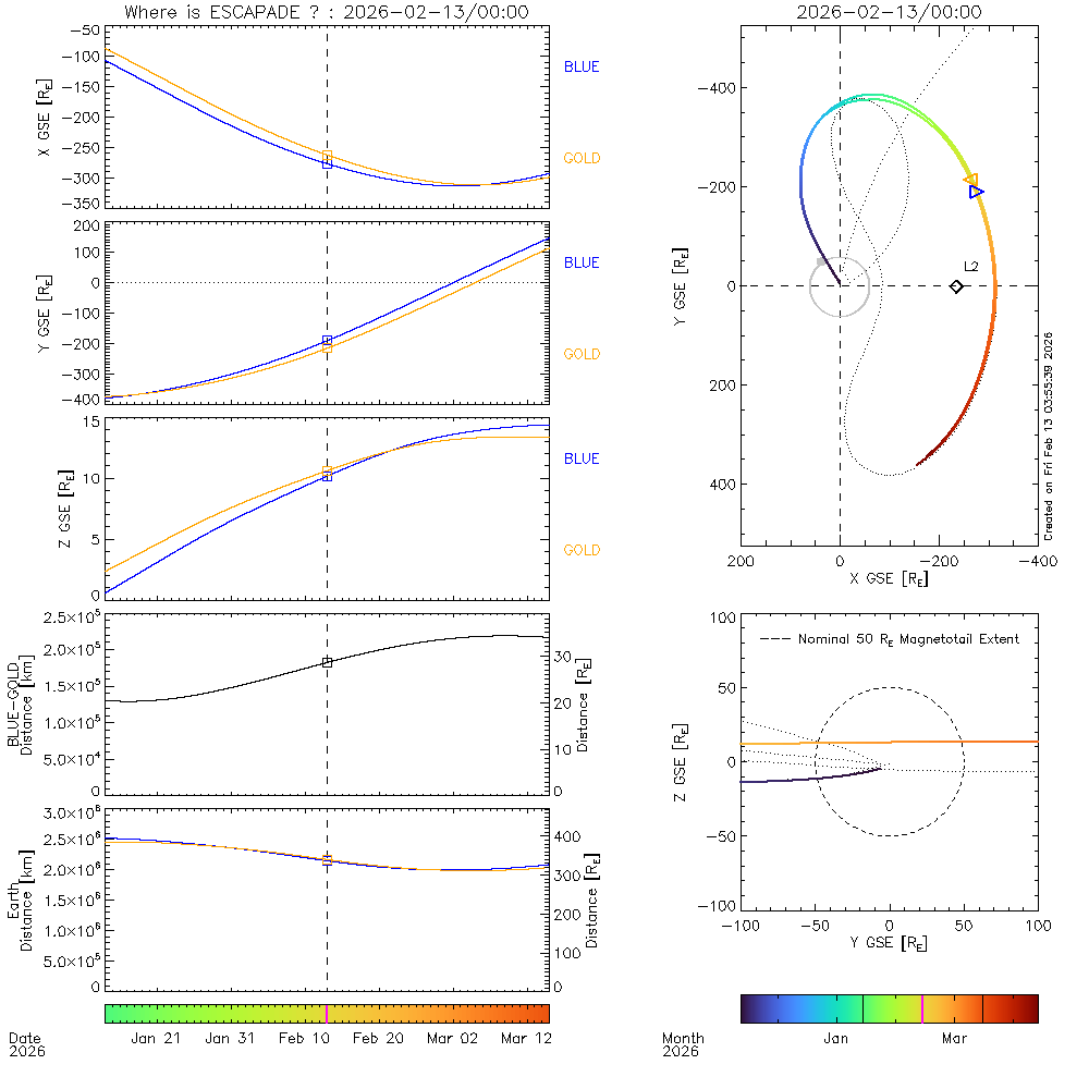
Qui un plot sul sito della Berkeley:
https://sprg.ssl.berkeley.edu/data/escapade/tools/quicklook/plots/eph/2026/esc_ql_eph_20260213.png
Il grafico interessante per noi è quello in alto a destra, la Terra è a (0,0), L2 si vede scritto, BLUE and GOLD sono i triangolini in blu e giallo, la legenda dei colori della traiettoria è in basso, blu e verde è il passato, arancione e rosso il futuro. Il plot è del 13 febbraio, come indicato nel testo dell’immagine.
È chiaro che non va in L2 a starci, supera un po’ la Terra, poi una passatina vicino a L2, poi dietro la Terra, poi passa un po’ davanti la Luna, poi si confonde e cade verso la Terra, e da lì penso faccia un’accensione per una manovra di Oberth che la porta su Marte.
Commissioning completo.
https://investors.rocketlabcorp.com/news-releases/news-release-details/rocket-lab-completes-spacecraft-commissioning-nasas-escapade



